Subject | Download link |
DATA STRUCTURES C (all schemes) | |
Discrete Mathematic Structures (all schemes) | |
Electronic Circuits (all schemes) | |
Logic Design (all schemes) | |
Object Oriented programming with c++ (old scheme) | |
OOP with C++ (old scheme) | |
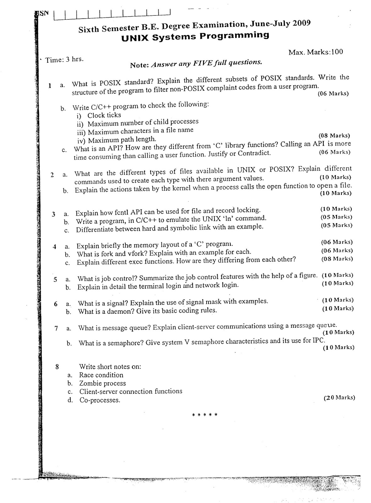
Unix & Shell programming (new scheme) |
if u have any contents to share with others pls mail it to mycollectionsmanoj@gmail.com
Monday, September 20, 2010
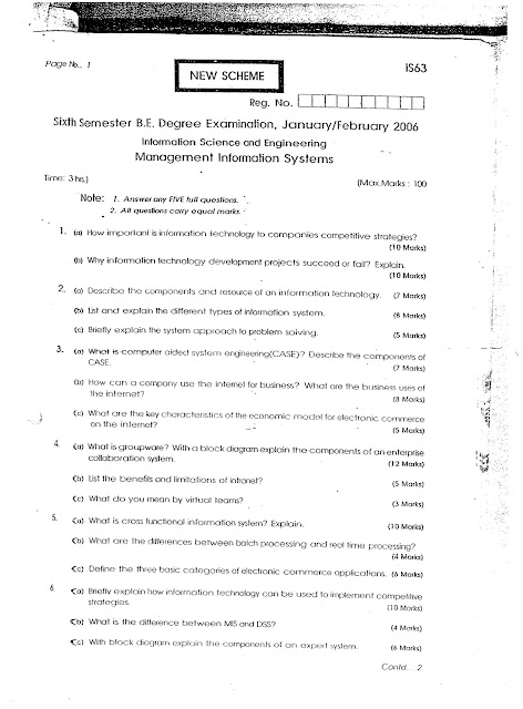
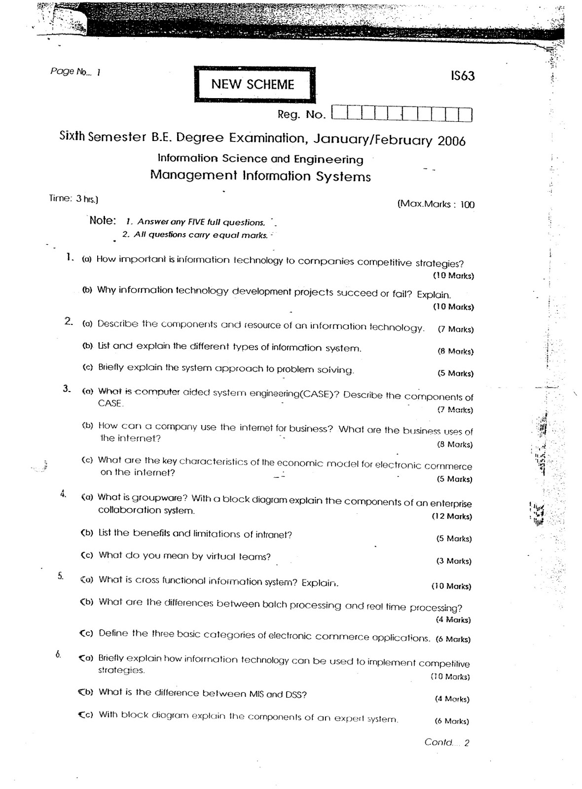
3 sem CS/IS old question paper
Tuesday, August 17, 2010
First year engineering question papers all schemes
Subject | Download link |
BASIC_ELECTRICAL_ENGINEERING | |
BASIC_ELECTRONIC | |
COMPUTER_CONCEPTS_PROGRAMMING | |
CONSTITUTION_INDIA_PROFESSIONAL _ETHICS | |
ELEMENTS_CIVIL_ENGINEERING | |
ELEMENTS_CIVIL_ENGINEERING_ ENGINEERING_MECHANICS(2002 scheme) | |
ELEMENTS_MECHANICAL_ENGINEERING | |
ENGINEERING_CHEMISTRY | |
ENGINEERING_GRAPHICS | |
ENGINEERING_MATHS_I | |
ENGINEERING_MATHS_II | |
ENGINEERING_PHYSICS | |
ENVIRONMENTAL_STUDIES |
Thursday, July 15, 2010
Sunday, June 27, 2010
Saturday, June 19, 2010
Monday, June 14, 2010
Subscribe to:
Comments (Atom)


























































